Predicting Home Values: A Full Data Science Project Walkthrough
2025-05-25
In this blog post, I've taken you on a comprehensive, step-by-step journey through a real-world data science project: predicting home values in West Roxbury, Boston. I started by defining the core problem and outlining our industry, stakeholders, goals, and the benefits of achieving them. From there, I walked through the crucial stages of data collection, showing how I loaded and prepared the WestRoxbury.csv file. You've seen my approach to data cleaning, where I tackled missing values and standardized column names to ensure our dataset was pristine. Then, we dove deep into data exploration (EDA), visualizing relationships and uncovering insights before moving on to feature engineering to prepare our data for modeling.
1. Problem Definition
- Example: Predict the value of homes in West Roxbury, Boston, MA
- Industry: Real Estate
- Stakeholder: Zillow
- Goal: To become the dominant platform for checking house prices
- Benefits: If the goal is achieved, more realtors will pay Zillow for advertising and hence become the dominant online advertising venue for realtors.
2. Data Collection
Usually, we find this data in databases, or we have to web scrape to get the data, or there might be some API that can have the data we want. We found the city housing data that are used to estimate property values for tax assessment.
In this file WestRoxbury.csv we have the data.
import pandas as pd
import numpy as np
import matplotlib.pyplot as plt
import seaborn as sns
from sklearn.model_selection import train_test_split
from sklearn.linear_model import LinearRegression
let's talk a little bit about the libraries we imported
- pandas: to manipulate the csv file and work with tables
- numpy: to do math operations ig
- matplotlib and seaborn: to visualize data on plots and charts idk why we are using two libraries
- sklearn: we are just importing train_test_split, its purpose is to just split the data to use some of it for testing and the remaining for the training
housing_df = pd.read_csv("WestRoxbury.csv")
we used the pandas library to load the data from the csv file
- Note: df in the name of the variable stands for "data frame"
3. Data Cleaning
print(housing_df)
TOTAL VALUE TAX LOT SQFT YR BUILT GROSS AREA LIVING AREA \
0 344.2 4330 9965 1880 2436 1352
1 412.6 5190 6590 1945 3108 1976
2 330.1 4152 7500 1890 2294 1371
3 498.6 6272 13773 1957 5032 2608
4 331.5 4170 5000 1910 2370 1438
... ... ... ... ... ... ...
5797 404.8 5092 6762 1938 2594 1714
5798 407.9 5131 9408 1950 2414 1333
5799 406.5 5113 7198 1987 2480 1674
5800 308.7 3883 6890 1946 2000 1000
5801 447.6 5630 7406 1950 2510 1600
FLOORS ROOMS BEDROOMS FULL BATH HALF BATH KITCHEN FIREPLACE \
0 2.0 6 NaN 1 1 1 0
1 2.0 10 NaN 2 1 1 0
2 2.0 8 NaN 1 1 1 0
3 1.0 9 5.0 1 1 1 1
4 2.0 7 3.0 2 0 1 0
... ... ... ... ... ... ... ...
5797 2.0 9 3.0 2 1 1 1
5798 2.0 6 3.0 1 1 1 1
5799 2.0 7 3.0 1 1 1 1
5800 1.0 5 2.0 1 0 1 0
5801 2.0 7 3.0 1 1 1 1
REMODEL
0 NaN
1 Recent
2 NaN
3 NaN
4 NaN
... ...
5797 Recent
5798 NaN
5799 NaN
5800 NaN
5801 NaN
[5802 rows x 14 columns]
we can print the data in the terminal, but there are better ways to do this 🧏
print(housing_df.shape)
(5802, 14)
this prints the (rows_num , coloumn_num)
print(housing_df.columns)
Index(['TOTAL VALUE ', 'TAX', 'LOT SQFT ', 'YR BUILT', 'GROSS AREA ',
'LIVING AREA', 'FLOORS ', 'ROOMS', 'BEDROOMS ', 'FULL BATH',
'HALF BATH', 'KITCHEN', 'FIREPLACE', 'REMODEL'],
dtype='object')
this prints the names of the columns to see what the data we are dealing with is
housing_df = housing_df.rename(columns={'BEDROOMS ':'BEDROOMS'})
we have to remove the space from the name of the column. In this case, we renamed it but without the space. We can just use the strip method and it does it automatically. I don't know why we are doing this.
housing_df.columns = [col_name.strip().replace(" ", "_") for col_name in housing_df.columns]
ok now we loop over each column and change to remove the space from the beginning and the end of each thing with the strip method and replacing each space, I mean the ones between the words, with underscore _ with the replace method. We removed the space and replaced it with the _ to get access to the . functions in the future.
We can also write this line in this syntax to be more readable:
new_columns = []
for col_name in housing_df.columns:
cleaned_name = col_name.strip().replace(' ', '_')
new_columns.append(cleaned_name)
housing_df.columns = new_columns
housing_df.head()
The head method will show the first 5 rows in the df
housing_df.loc[0:9]
The loc method takes a range and it shows the data from the range you selected.
housing_df.iloc[0:9,1]
0 4330
1 5190
2 4152
3 6272
4 4170
5 4244
6 4521
7 4030
8 4195
Name: TAX, dtype: int64
The iloc method is the same as the loc, but the second parameter is the index of the column.
housing_df.loc[0:9,"ROOMS"]
0 6
1 10
2 8
3 9
4 7
5 6
6 7
7 6
8 5
9 8
Name: ROOMS, dtype: int64
if we add the second parameter, we get the data from the column we want
housing_df["REMODEL"] = housing_df["REMODEL"].fillna("None")
the fillna method we used to replace any NA values with something we want, in this case, None
housing_df.ROOMS.dtype
dtype('int64')
here we are getting the data type of the column, and thats why we renamed the columns to have _ and not space to access the functions like now
housing_df.dtypes
TOTAL_VALUE float64
TAX int64
LOT_SQFT int64
YR_BUILT int64
GROSS_AREA int64
LIVING_AREA int64
FLOORS float64
ROOMS int64
BEDROOMS float64
FULL_BATH int64
HALF_BATH int64
KITCHEN int64
FIREPLACE int64
REMODEL object
dtype: object
we can use this to see if the data is categorical or not, like with the REMODEL column, which is categorical
housing_df.loc[0:9,"REMODEL"]
0 None
1 Recent
2 None
3 None
4 None
5 Old
6 None
7 None
8 Recent
9 None
Name: REMODEL, dtype: object
housing_df.REMODEL = housing_df.REMODEL.astype("category")
housing_df.REMODEL.cat.categories
Index(['None', 'Old', 'Recent'], dtype='object')
the value of the REMODEL column is categorical, so we converted it to a categorical type and we can see the categories with the cat.categories method, the .cat is a method that is used to work with categorical data
na_counts = housing_df.isna().sum()
print(na_counts)
TOTAL_VALUE 0
TAX 0
LOT_SQFT 0
YR_BUILT 0
GROSS_AREA 0
LIVING_AREA 0
FLOORS 0
ROOMS 0
BEDROOMS 3
FULL_BATH 0
HALF_BATH 0
KITCHEN 0
FIREPLACE 0
REMODEL 0
dtype: int64
now we can see the number of NA values in each column, as we can see there are NA values in the BEDROOMS column, lets fix that
housing_df.BEDROOMS.count()
np.int64(5799)
the .count method counts the number of non-NA values in a column
medianBedrooms = housing_df.BEDROOMS.median()
housing_df.BEDROOMS = housing_df.BEDROOMS.fillna(medianBedrooms)
we found the median of the BEDROOMS column and we filled the NA values with the median,there are better ways to do this, but this is one of them
4. Data Exploration (EDA)
we preform expletory data analysis (EDA) to understand the data and find patterns and relationships between the data.
from what I've understood we just have to visualize the data, and find relations
pd.pivot_table(housing_df,index=["REMODEL"],values=["TOTAL_VALUE"],aggfunc=[np.mean,np.std])
the pivot_table is a pandas method that takes four parameters
- the dataframe we want to pivot in this case housing_df
- the index we want to pivot on in this case
REMODEL, which is a categorical column - the values we want to pivot on in this case
TOTAL_VALUE, which is a numerical column, we can also pivot on more than one column by providing the column names in the list - the aggregation function we want to use in this case
meanandstd, which is the standard deviation
housing_df.describe()
the describe method is a pandas method that returns a summary of the data in the data frame, which includes the count, mean, standard deviation, minimum, maximum, and quartiles
ax = housing_df.TOTAL_VALUE.hist()
ax.set_xlabel("Total Value")
ax.set_ylabel("Count")
plt.show()

the hist method is used for the columns of the data frame, it returns a histogram of the data, and the set_xlabel and set_ylabel methods are used to set the labels of the x and y axes, and the plt.show method is used to show the plot
housing_df.plot.scatter(x="ROOMS",y="TOTAL_VALUE")

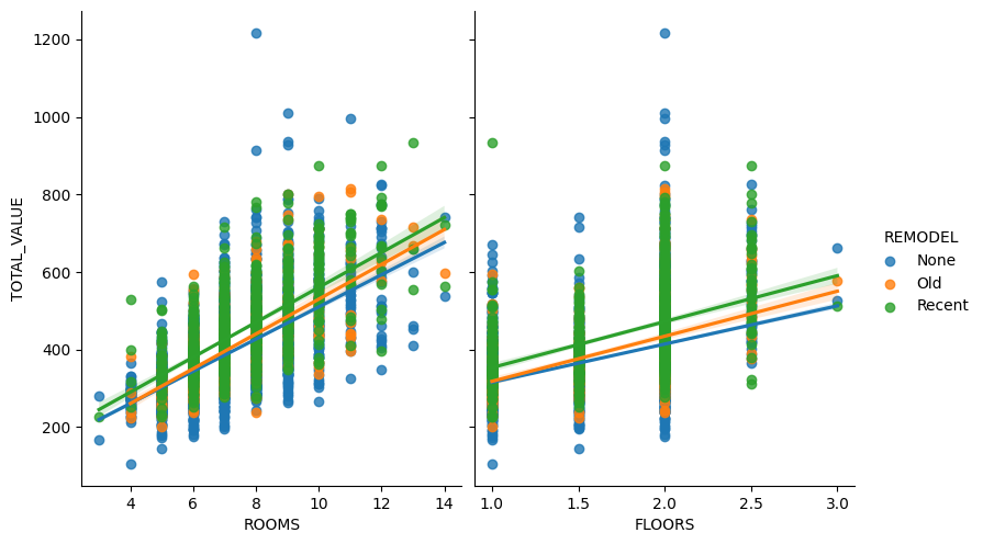
sns.pairplot(housing_df, x_vars=["ROOMS","FLOORS"], y_vars="TOTAL_VALUE", hue="REMODEL",height=5, aspect=.8, kind="reg")

sns.scatterplot(x="LOT_SQFT",y="TOTAL_VALUE",size="FULL_BATH",data=housing_df)

sns.scatterplot(x="LOT_SQFT",y="TOTAL_VALUE",size="FULL_BATH",hue="REMODEL",data=housing_df)

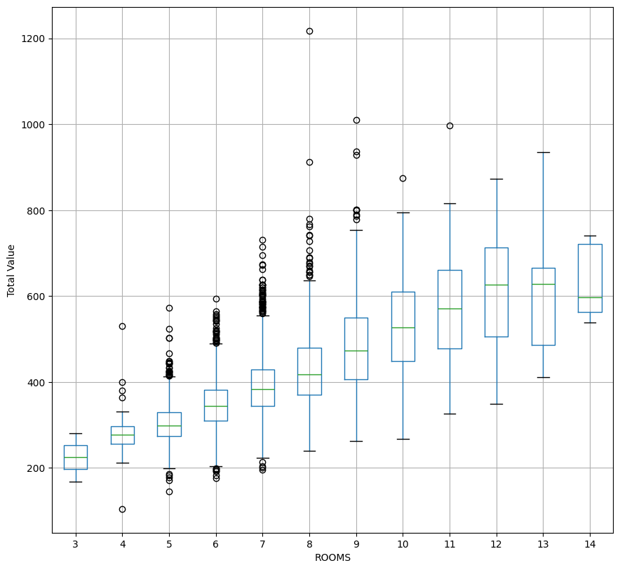
ax = housing_df.boxplot(column="TOTAL_VALUE",by="ROOMS", figsize=(10,10),grid=True)
ax.set_ylabel("Total Value")
plt.suptitle('')
plt.title('')

here is Youtube video explaining the above plot

5. Feature Engineering
Create and transform variables (features) that enhance the predictive power of the model. This may involve scaling, encoding categorical variables, or generating new features based on domain knowledge.
housing_df = pd.get_dummies(housing_df,drop_first=True,prefix_sep="_")
housing_df.REMODEL_Old = housing_df.REMODEL_Old.astype("int")
housing_df.REMODEL_Recent = housing_df.REMODEL_Recent.astype("int")
housing_df.head()
any categorical value have to be converted to a binary value, cuz in the regression model i have to have numbers not names and categorys.
we can just take two of the columns and if both of them are zero, we know that the third value is One
6. Modelling
Select suitable algorithms and build predictive or prescriptive models. This involves training machine learning or statistical models using the prepared data, then tuning the models to improve accuracy and reliability.
In this step, dataset is split into:
- Training set (used to build/train multiple models)
- Validation set (used to tune parameters, compare models and select the best model)
- Testing set (held back until final model evaluation to assess the performance of the chosen model).
pay attention to overfitting
excludeColumns = ('TOTAL_VALUE', "TAX")
predectors = [col for col in housing_df.columns if col not in excludeColumns]
X = housing_df[predectors]
y = housing_df["TOTAL_VALUE"]
train_X,valid_X,train_y,valid_y = train_test_split(X,y,test_size=0.7,random_state=1)
- It excludes the
TOTAL_VALUEandTAXcolumns from the dataset. - It assigns the remaining columns to
X(features) andTOTAL_VALUEtoy(target variable). - It splits
Xandyinto training and validation sets usingtrain_test_split, with 70% of the data going into the training set and 30% into the validation set. The split is done randomly, but the randomness is reproducible due to the fixedrandom_state.
model = LinearRegression()
model.fit(train_X,train_y)
train_predictions = model.predict(train_X)
valid_predictions = model.predict(valid_X)
7. Evaluation
Assess model performance using appropriate metrics (e.g., accuracy, precision, recall, etc.).
train_results = pd.DataFrame({"TOTAL_VALUE":train_y,"predicted":train_predictions, "residuals":train_y-train_predictions})
print(train_results.head())
TOTAL_VALUE predicted residuals
3772 517.5 416.830508 100.669492
3335 325.5 338.979750 -13.479750
2662 419.7 392.672343 27.027657
3546 372.7 364.048194 8.651806
4825 373.8 371.904935 1.895065
This code creates a pandas DataFrame train_results that compares the actual TOTAL_VALUE (train_y) with the predicted values (train_predictions) from a linear regression model. It also calculates the residuals (differences between actual and predicted values). The head() function then prints the first few rows of this DataFrame.
all_residuals = train_y-train_predictions
ax = pd.DataFrame({"residuals":all_residuals}).hist(bins=25)
plt.tight_layout()
plt.show()

This code calculates the residuals (differences between actual and predicted values) of a linear regression model and visualizes them as a histogram with 25 bins.
We visualize the residuals to check the assumptions of linear regression, specifically:
- Normality: A histogram of residuals can help verify if the errors are normally distributed, which is an assumption of linear regression.
- Constant variance: A uniform spread of residuals in the histogram indicates constant variance, another assumption of linear regression.
- No patterns: A random, scattered pattern in the histogram suggests that the model is capturing the underlying relationships in the data.
By examining the residual histogram, we can identify potential issues with the model, such as non-normality, heteroscedasticity, or non-linearity.
r2= model.score(train_X,train_y)
This code calculates the R-squared (R²) value of the linear regression model on the training data. R² measures the goodness of fit of the model, with higher values indicating better fit (up to a maximum of 1).
but as we said earlier we have to pay attention to overfitting
valid_residuals = valid_y-valid_predictions
ax = pd.DataFrame({"residuals":valid_residuals}).hist(bins=25)
plt.tight_layout()
plt.show()

8. Interpretation and Communication
Translate results into actionable insights and communicate findings to stakeholders. This includes explaining model predictions, highlighting key features, and addressing how the findings support the original business problem.
9. Deployment
Implement the model in a real-world environment where it can be used to generate actionable results. This step involves creating a Minimum Viable Product (MVP) by deploying a simplified, essential version of the model to test its effectiveness in solving the problem. During deployment, you may integrate the model with existing systems, develop an API, or set up a dashboard. The MVP allows you to gather initial feedback, monitor
performance, and assess its value to users, providing a foundation for further refinement and scaling based on real-world data and feedback.
new_data = pd.DataFrame({
'LOT_SQFT': [4200, 6444, 5035],
'YR_BUILT': [1960, 1940, 1925],
'GROSS_AREA': [2670, 2886, 3264],
'LIVING_AREA': [1710, 1474, 1523],
'FLOORS': [2.0, 1.5, 1.9],
'ROOMS': [10, 6, 6],
'BEDROOMS': [4, 3, 2],
'FULL_BATH': [1, 1, 1],
'HALF_BATH': [1, 1, 0],
'KITCHEN': [1, 1, 1],
'FIREPLACE': [1, 1, 0],
'REMODEL_Old': [0, 0, 0],
'REMODEL_Recent': [0, 0, 1],
})
print(new_data)
print('Predictions: ', model.predict(new_data))
LOT_SQFT YR_BUILT GROSS_AREA LIVING_AREA FLOORS ROOMS BEDROOMS \
0 4200 1960 2670 1710 2.0 10 4
1 6444 1940 2886 1474 1.5 6 3
2 5035 1925 3264 1523 1.9 6 2
FULL_BATH HALF_BATH KITCHEN FIREPLACE REMODEL_Old REMODEL_Recent
0 1 1 1 1 0 0
1 1 1 1 1 0 0
2 1 0 1 0 0 1
Predictions: [384.30511506 377.59257723 385.8679671 ]
and that's it we predicted the values
10. Monitoring and Maintenance
Continuously monitor the model’s performance to ensure it remains accurate over time. Regular updates may be needed as new data becomes available or if the business problem evolves
Conclusion
As we conclude this project, I hope I've clearly illustrated the complete data science lifecycle, from our initial problem definition all the way to model deployment. We've meticulously cleaned and explored our raw data, transforming it into meaningful features, and then built and rigorously evaluated our linear regression model. The successful prediction of new home values at the end, as shown with our new_data DataFrame, truly showcases the tangible outcome of this systematic process. Remember, data science isn't a one-and-done deal; continuous monitoring and maintenance are absolutely key to ensuring our models remain accurate and impactful in a dynamic real-world environment.